第一章 单元测试
1、判断题:
材料力学的研究对象是变形杆件。
选项:
A:对
B:错
答案: 【对】
2、判断题:
强度是构件抵抗破坏和变形的能力。
选项:
A:对
B:错
答案: 【错】
3、单选题:
杆件的刚度是指()。
选项:
A:杆件对弹性变形的抵抗能力
B:杆件对弯曲变形的抵抗能力
C:杆件的承载能力
D:杆件的软硬程度
答案: 【杆件对弹性变形的抵抗能力】
4、单选题:
构件在外力作用下()的能力称为稳定性。
选项:
A:不产生变形
B:保持静止
C:保持原有平衡状态
D:不发生断裂
答案: 【保持原有平衡状态】
5、判断题:
关于变形固体的假设包括:均匀性假设、连续性假设、各向同性假设、小变形假设。
选项:
A:错
B:对
答案: 【错】
6、判断题:
均匀性假设认为,材料内部各点的受力相同 。
选项:
A:错
B:对
答案: 【错】
7、单选题:
各向同性假设认为,材料沿各个方向具有相同的()。
选项:
A:位移
B:外力
C:力学性能
D:变形
答案: 【力学性能】
8、单选题:
根据小变形条件,可以认为()。
选项:
A:构件不破坏
B:构件不变形
C:构件的变形远小于其原始尺寸
D:构件仅发生弹性变形
答案: 【构件的变形远小于其原始尺寸】
9、判断题:
杆件受到作用面垂直于杆轴的一对力偶作用,发生扭转变形。
选项:
A:对
B:错
答案: 【对】
10、判断题:
扭转变形和弯曲变形不能同时发生。
选项:
A:对
B:错
答案: 【错】
11、单选题:
AB、BC段分别发生()变形。
选项:
A:压缩、拉伸
B:拉伸、压缩
C:拉伸、无变形
D:无变形、压缩
答案: 【拉伸、无变形】
12、多选题:
下图结构中可发生弯曲变形的部分是()。
选项:
A:CD段
B:都不是
C:AB段
D:CB段
答案: 【CD段;AB段;CB段】
13、单选题:
若杆件发生弯扭组合变形,其横截面上的内力分量有()。
选项:
A:弯矩、扭矩、剪力
B:轴力、弯矩、扭矩
C:弯矩、扭矩
D:轴力、剪力、弯矩、扭矩
答案: 【弯矩、扭矩、剪力】
14、单选题:
在一截面的任意点处,正应力σ与切应力τ的夹角()°。
选项:
A:α=0
B:α=45
C:α为任意角
D:α=90
答案: 【α=90】
15、单选题:

选项:
A:

B:

C:

D:

答案: 【

】
第二章 单元测试
1、判断题:
研究杆件的应力与变形时,力可按力线平移定理进行移动。
选项:
A:对
B:错
答案: 【错】
2、单选题:
等截面直杆CD位于两块夹板之间,如图所示。杆件与夹板间的摩擦力与杆件自重保持平衡。设杆CD两侧的摩擦力沿轴线方向均匀分布,且两侧摩擦力的集度均为q,杆CD的横截面面积为A,质量密度为 ,试问下列结论中()是正确的? 
选项:
A:D
B:B
C:C
D:A
答案: 【D】
3、单选题:
在下图所示桁架的A点作用一水平荷载FP,下列说法正确的是:()。
选项:
A:A点会发生水平位移,不会发生垂直位移
B:A点仅会绕B点发生转动
C:A点会发生垂直位移和水平位移
D:A点仅会绕C点发生转动
答案: 【A点会发生垂直位移和水平位移】
4、判断题:
轴向拉压杆横截面上的正应力一定与杆件材料无关,只与该截面的轴力和横截面面积有关。
选项:
A:错
B:对
答案: 【错】
5、判断题:
设轴向拉伸杆横截面上的正应力为σ,则45°斜截面上只有切应力,并且取得最大值为σ/2。
选项:
A:对
B:错
答案: 【错】
6、单选题:

选项:
A:C
B:B
C:A
D:D
答案: 【B】
7、判断题:
设受力在弹性范围内,壁厚均匀的空心圆钢管轴向拉伸时,其内壁半径增加,外壁半径减小。
选项:
A:对
B:错
答案: 【错】
8、判断题:

选项:
A:对
B:错
答案: 【错】
9、单选题:

选项:
A:B
B:D
C:A
D:C
答案: 【B】
10、判断题:

选项:
A:错
B:对
答案: 【错】
11、单选题:

选项:
A:C
B:D
C:B
D:A
答案: 【B】
12、判断题:
超静定问题要联立静力平衡方程、变形几何方程及物理方程进行求解。
选项:
A:对
B:错
答案: 【对】
13、单选题:

选项:
A:C
B:D
C:B
D:A
答案: 【D】
第三章 单元测试
1、单选题:
低碳钢材料在轴向拉伸实验过程中,不发生明显的塑性变形时,承受的最大应力应当小于()。
选项:
A:比例极限
B:许用应力
C:强度极限
D:屈服极限
答案: 【屈服极限】
2、单选题:
下图中杆AC是直径相同的铸铁圆截面杆,关于哪个结构能承受的载荷F更大的论述正确的是()。
选项:
A:图(a)比图(b)更大
B:无法确定
C:图(b)比图(a)更大
D:图(a)与图(b)一样大
答案: 【图(b)比图(a)更大】
3、单选题:
三根杆的横截面面积及长度均相等,其材料的曲线分别如图所示,其中强度最高、刚度最大、塑性最好的依次是()。
选项:
A:b 、a 、c
B:b、 c、 a
C:c 、b 、a
D:a、 b、 c
答案: 【a、 b、 c】
4、单选题:
塑性材料试件拉伸试验时,在强化阶段发生()。
选项:
A:塑性变形
B:弹性与塑性变形
C:线弹性变形
D:弹性变形
答案: 【弹性与塑性变形】
5、多选题:
用塑性材料的低碳钢标准试件在做拉伸实验过程中,将会出现四个重要的极限应力,应力只作微小波动而变形迅速增加时的应力为(),材料达到所能承受的最大载荷时的应力为()。
选项:
A:强度极限
B:比例极限
C:屈服极限
D:弹性极限
答案: 【强度极限;屈服极限】
6、判断题:
对于拉伸曲线上没有屈服平台的合金塑性材料,工程上规定σ0.2作为名义屈服极限,此时相对应的应变量为0.2%的应变。
选项:
A:错
B:对
答案: 【错】
7、单选题:
灰口铸铁短柱受轴向压缩时,其错误的说法是:()。
选项:
A:试样破坏断面的法线与轴向大致成45º-55º倾角因压缩而破坏
B:试样破坏时无明显的塑性变形
C:试样破坏断面的法线与轴向大致成45º-55º倾角因剪切错动而破坏
D:压缩强度极限比拉伸极限强度高
答案: 【试样破坏断面的法线与轴向大致成45º-55º倾角因压缩而破坏】
8、单选题:
铸铁试件的压缩破坏是()引起的破坏。
选项:
A:正应力
B:切应力
答案: 【切应力】
9、判断题:
低碳钢拉伸时的应力-应变关系呈现四个阶段:弹性阶段、屈服阶段、强化阶段和局部颈缩阶段。
选项:
A:错
B:对
答案: 【对】
10、判断题:
直径为10mm的标准试件,拉断后测得颈缩处的最小直径为6.4mm,该材料的截面收缩率为36%。
选项:
A:对
B:错
答案: 【错】
11、判断题:

选项:
A:对
B:错
答案: 【对】
12、判断题:

选项:
A:错
B:对
答案: 【错】
第四章 单元测试
1、判断题:
挤压应力与压缩应力不同,前者是分布于两构件接触表面上的压强,而后者是分布在构件内部截面单位面积上的内力。
选项:
A:对
B:错
答案: 【对】
2、判断题:

选项:
A:对
B:错
答案: 【错】
3、单选题:
一般情况下,联接件的剪切面与外力是()。
选项:
A:成45度
B:相互垂直
C:无规律
D:相互平行
答案: 【相互平行】
4、单选题:
一般情况下,联接件的挤压面与外力是()。
选项:
A:无规律
B:相互平行
C:成45度
D:相互垂直
答案: 【相互垂直】
5、单选题:
如图铆钉联接的两钢板,该结构不可能发生的破坏形式为( )。
选项:
A:钢板材料的拉伸破坏
B:钢板材料的压缩破坏
C:铆钉材料的剪切破坏
D:钢板材料的挤压破坏
答案: 【钢板材料的压缩破坏 】
6、单选题:

选项:
A:

B:

C:

D:

答案: 【

】
7、单选题:

选项:
A:73.7 MPa
B:36.9 MPa
C:22.1 MPa
D:294.9 MPa
答案: 【73.7 MPa】
8、单选题:

选项:
A:120 MPa
B:280 MPa
C:210 MPa
D:100 MPa
答案: 【280 MPa】
9、单选题:

选项:
A:

B:

C:

D:

答案: 【

】
10、单选题:

选项:
A:
![]()
B:2:1
C:1:1
D:1:2
答案: 【
![]()
】
第五章 单元测试
1、单选题:
汽车传动主轴所传递的功率不变,当轴的转速降低为原来的二分之一时,轴所受的外力偶的力偶矩将()。
选项:
A:不改变
B:增大三倍
C:增大一倍
D:减小一半
答案: 【增大一倍】
2、判断题:
圆截面杆扭转时,其变形特点是变形过程中横截面始终保持平面,即符合平面假设。
选项:
A:对
B:错
答案: 【对】
3、单选题:
如图所示,一钻机轴受到外力偶矩
的作用,若土壤对钻机的阻力可视为均布力偶,则该轴扭矩图为()。
选项:
A:任意分布
B:三角形分布
C:均匀分布
D:梯形分布
答案: 【三角形分布】
4、判断题:
直径相同的两根实心轴,横截面上的扭矩也相等,当两轴的材料不同时,其最大切应力不同。
选项:
A:错
B:对
答案: 【错】
5、判断题:
受扭杆件横截面上的切应力超过材料的比例极限时,切应力互等定理仍然成立,而剪切胡克定律不再成立。
选项:
A:错
B:对
答案: 【对】
6、单选题:
圆轴受扭如图所示,现取出I-I横截面上点A的纯剪切单元体,其成对存在的切应力为()。
选项:
A:

B:

C:

D:

答案: 【

】
7、单选题:
直径为D的实心等截面圆轴承受扭转时,当它的直径减少为D/3,其它条件均不改变时,问圆轴横截面上的最大切应力为原来的()。
选项:
A:3
B:9
C:27
D:81
答案: 【27】
8、单选题:
两端受扭转力矩作用的实心圆轴,不发生屈服的最大许可载荷为
,若将其横截面面积增加1倍,则最大许可载荷为()。
选项:
A:

B:

C:

D:

答案: 【

】
9、单选题:

选项:
A:

B:

C:

D:

答案: 【

】
10、判断题:
直径相同的两根实心轴,横截面上的扭矩也相等,当两轴的材料不同时,其单位长度扭转角不同。
选项:
A:错
B:对
答案: 【对】
11、单选题:


选项:
A:

B:

C:

D:

答案: 【

】
12、单选题:

选项:
A:

B:

C:

D:不确定
答案: 【

】
13、判断题:
受扭圆轴的最大切应力只出现在横截面上。
选项:
A:错
B:对
答案: 【错】
14、判断题:
材料不同而截面和长度相同的二圆轴,在相同外力偶作用下,其扭矩图、切应力及相对扭转角都是相同的。
选项:
A:错
B:对
答案: 【错】
15、判断题:
杆件拉压或扭转变形时,截面上的内力只与其所受的外力有关,与其他因素无关。
选项:
A:错
B:对
答案: 【对】
16、判断题:
扭转构件的单元体上同时存在正应力和切应力时,切应力互等定理不成立。
选项:
A:错
B:对
答案: 【错】
第六章 单元测试
1、单选题:
厂房中的“鱼腹梁”是根据简支梁上( )而设计的等强度梁。
选项:
A:受均布力、截面宽度不变
B:受均布力、截面高度不变
C:受集中力、截面高度不
D:受集中力、截面宽度不变
答案: 【受集中力、截面宽度不变 】
2、单选题:

选项:
A:6
B:2
C:8
D:4
答案: 【2
】
3、单选题:
设计钢梁和铸铁梁时,分别宜采用中性轴为( )的截面。
选项:
A:对称轴或非对称轴均可
B:偏于受压边的非对称轴、对称轴;
C:对称轴、偏于受拉边的非对称轴;
D:对称轴、偏于受压边的非对称轴
答案: 【对称轴、偏于受拉边的非对称轴;】
4、单选题:
为了提高梁的弯曲强度而采取的措施,以下正确的是( )。
选项:
A:使用弹性模量较大的材料
B:集中布置荷载
C:选择使材料远离中性轴的截面形状
D:使截面的惯性半径尽可能小
答案: 【选择使材料远离中性轴的截面形状】
5、单选题:
可以显著提高简支梁的正应力强度的措施是( )。
选项:
A:集中力偏离梁中点较远处
B:集中力作用在梁支座处
C:集中力偏离梁中点较近处
D:集中力作用在梁中点处
答案: 【集中力偏离梁中点较远处】
6、判断题:
对于抗拉强度低于抗压强度的材料,合理的梁截面是:截面的中性轴偏于受压一侧。
选项:
A:错
B:对
答案: 【错】
7、判断题:
等强度梁设计原理是:使梁上每个截面的最大正应力均相同且等于许用正应力。
选项:
A:对
B:错
答案: 【对】
8、单选题:
自由端受集中力的悬臂梁,已知材料的许用应力,若分别采用以下截面形状:高宽比为2的矩形和圆形,则根据弯曲正应力强度条件,二者所耗的材料用量之比为( )
选项:
A:0.5
B:0.8
C:0.7
D:0.6
答案: 【0.7 】
9、单选题:

选项:
A:AB段和BD段均不满足强度条件
B:AB段满足强度条件,BD段不满足强度条件
C:AB段和BD段均满足强度条件
D:AB段不满足强度条件,BD段满足强度条件
答案: 【AB段和BD段均满足强度条件】
10、单选题:
矩形截面梁采用竖放和平放两种方式放置,从弯曲切应力强度条件来看,其承载能力( )
选项:
A:都不对
B:平放较好
C:竖放较好
D:一样
答案: 【一样】
11、单选题:
矩形截面梁在它的横截面的高度増加一倍,宽度减小一半时,从正应力强度条件考虑,该梁的承载能力的变化是( )。
选项:
A:增大一倍
B:不变
C:减小一半
D:增大三倍
答案: 【增大一倍】
12、单选题:
梁在横向力作用下发生平面弯曲时,横截面上最大正应力点和最大切应力点的应力情况是( )。
选项:
A:最大正应力点的切应力和最大切应力点的正应力都可能不为零。
B:最大切应力点的正应力一定为零,最大的正应力点的切应力不一定为零;
C:最大正应力点的切应力一定为零 ,最大切应力点的正应力也一定为零;
D:最大正应力点的切应力一定为零,最大切应力点的正应力不一定为零;
答案: 【最大正应力点的切应力和最大切应力点的正应力都可能不为零。】
13、判断题:
第三类是正应力和切应力都比较大的点,这些点一般在截面上、下边缘与中性轴之间某个位置上,处于平面应力状态。
选项:
A:对
B:错
答案: 【对】
14、判断题:
直梁的最大切应力一定发生在最大剪力所在截面的中性轴处。
选项:
A:错
B:对
答案: 【错】
15、判断题:
梁的危险截面可能发生在弯矩较大且面积较小的截面上。
选项:
A:对
B:错
答案: 【对】
16、单选题:
长为l的圆截面简支梁受到均布荷载q的作用,截面直径为d,则该梁上最大切应力为( )。
选项:
A:

B:

C:

D:

答案: 【

】
17、单选题:

选项:
A:10
B:8
C:6
D:5
答案: 【10
】
18、单选题:
下列各梁的横截面积相等,其上的剪力也相等,则( )截面上的最大切应力最大。
选项:
A:矩形
B:圆型
C:正方形
D:薄壁圆环
答案: 【薄壁圆环】
19、判断题:
直梁截面最大切应力发生在截面中性轴处。
选项:
A:对
B:错
答案: 【对】
20、判断题:
直梁橫力弯曲时,推导切应力公式的假设之一是:横截面上各点的切应力合力等于剪力。
选项:
A:错
B:对
答案: 【错】
21、单选题:

选项:
A:最大拉应力发生在C截面上边缘,最大压应力发生在B截面下边缘
B:最大拉应力发生在C截面下边缘,最大压应力发生在B截面上边缘
C:最大拉应力发生在C截面上边缘,最大压应力发生在B截面上边缘
D:最大拉应力发生在C截面下边缘,最大压应力发生在B截面下边缘
答案: 【最大拉应力发生在C截面下边缘,最大压应力发生在B截面下边缘】
22、单选题:

选项:
A:7/8
B:6/7
C:8/7
D:7/6
答案: 【6/7】
23、单选题:
一圆截面简支梁,长度L=3m,作用均布荷载q=8kN/m,圆截面的直径d=250px,则此梁的最大弯矩及最大正应力为( )。
选项:
A:Mmax=9kN·m,smax=91.67MPa
B:Mmax=4.5kN·m,smax=45.8MPa
C:Mmax=9kN·m,smax=45.8MPa
D:Mmax=18kN·m,smax=183.3MPa
答案: 【Mmax=9kN·m,smax=91.67MPa】
24、单选题:
直梁橫力弯曲时,最大正应力 ( )。
选项:
A:一定发生在弯曲截面系数最小的截面上
B:一定发生在最大弯矩的截面上
C:一定发生在面积最小的截面上
D:不一定发生在最大弯矩的截面上
答案: 【不一定发生在最大弯矩的截面上】
25、判断题:
横截面形状和尺寸完全相同的木梁和钢梁,在相同的弯矩作用下,钢梁中的最大正应力大于木梁中的最大正应力。
选项:
A:错
B:对
答案: 【错】
26、判断题:
梁产生橫力弯曲时,其橫截面上只有正应力,无切应力。
选项:
A:错
B:对
答案: 【错】
27、单选题:

选项:
A:10/17
B:8/17
C:17/8
D:17/10
答案: 【17/10 】
28、单选题:

选项:
A:1
B:2
C:
D:
答案: 【
】
29、单选题:
从变形实验可知:当纯弯曲梁在受到正弯矩作用时,中性层內各纵向纤维长度不变( )。
选项:
A:中性层以上各纤维伸长
B:中性层以上各纤维缩短
C:中性层以上各纤维不变
D:中性层以下各纤维缩短
答案: 【中性层以上各纤维缩短】
30、单选题:
直梁纯弯曲时,通过变形实验,可知下列结论中错误的是( )。
选项:
A:梁的纵向纤维间相互挤压,所以纵向截面上存在正应力
B:梁的纵向纤维间无正应力,纵向截面上无正应力
C:纵向纤维是单向受力
D:橫截面上不存在切应力
答案: 【梁的纵向纤维间相互挤压,所以纵向截面上存在正应力】
31、单选题:
直梁在发生纯弯曲变形时,梁的橫截面上( )。
选项:
A:剪力、弯矩均为不为零
B:剪力不为零,弯矩等于零
C:剪力等于零,弯矩不为零
D:剪力、弯矩均等于零
答案: 【剪力等于零,弯矩不为零】
32、判断题:
抗弯截面系数是一个仅与截面几何形状有关的几何量。
选项:
A:错
B:对
答案: 【对】
33、判断题:
直梁纯弯曲时,截面上的最大正应力发生在截面上距离中性轴最远的点处。
选项:
A:错
B:对
答案: 【对】
34、判断题:
直梁纯弯曲时,根据平面假设、胡克定律和截面上应力与内力的等价关系,可以推导出梁在某截面处的曲率与截面的弯矩成反比,与梁的抗弯刚度成正比。
选项:
A:对
B:错
答案: 【错】
35、单选题:
选项:
A:2 qa,qa2
B:qa/2,2qa2
C:3qa,qa2/3
D:qa,qa2/2
答案: 【qa,qa2/2 】
36、单选题:
选项:
A:

B:

C:

D:

答案: 【

】
37、单选题:
选项:
A:
均匀分布
B:曲线分布
C:
三角形分布
D:梯形分布
答案: 【
三角形分布
】
38、判断题:
已知梁的剪力图,并已知梁上无外力偶,则可作梁的弯矩图。
选项:
A:错
B:对
答案: 【对】
39、判断题:
剪力图上任一点的切线斜率等于梁上该点的分布荷载的集度,弯矩图上任一点的切线斜率等于梁上与该点相应截面上的剪力。
选项:
A:错
B:对
答案: 【对】
40、判断题:
利用荷载集度和剪力、弯矩的微分关系,绘制剪力图和弯矩图的方法称为简易法。
选项:
A:错
B:对
答案: 【对】
41、单选题:
选项:
A:–ql2/2
B:ql2/3
C:
–ql2/6
D:–ql2/4
答案: 【
–ql2/6
】
42、单选题:
选项:
A:qa/2
B:qa
C:0
D:不确定
答案: 【0 】
43、判断题:
悬臂梁自由端附近梁段剪力可能不为零。
选项:
A:对
B:错
答案: 【对】
44、单选题:
下面哪种不是静定梁( )。
选项:
A:

B:

C:

D:

答案: 【

】
45、判断题:
平面弯曲梁的受力和变形特征是:作用于杆上的外力垂直于杆的轴线,原为直线的轴线变形后为曲线。
选项:
A:对
B:错
答案: 【对】
46、判断题:
平面弯曲一定是对称弯曲。
选项:
A:错
B:对
答案: 【错】
第七章 单元测试
1、判断题:
根据梁变形的平面假设,在小变形条件下,梁任意横截面的转角等于挠曲线在该横截面处的斜率。
选项:
A:对
B:错
答案: 【对】
2、判断题:
梁的最大转角必发生在弯矩最大的截面处。
选项:
A:错
B:对
答案: 【错】
3、单选题:
选项:
A:
B:
C:
D:
答案: 【
】
4、判断题:
积分法计算单跨梁变形,连续性条件是分段积分处左右截面的挠度一定相等,但转角不一定相等。
选项:
A:对
B:错
答案: 【错】
5、判断题:
一悬臂梁在自由端受一集中荷载作用,若将梁的跨度减小一半,则其最大挠度将降为原来的。
选项:
A:错
B:对
答案: 【错】
6、单选题:
选项:
A:

B:

C:

D:

答案: 【

】
7、单选题:
由积分法计算可知,上题简支梁左右两端A、B截面的转角分别如下,其中正确的是:( )。
选项:
A:

B:

C:

D:

答案: 【

】
8、判断题:
当材料在线弹性范围内,杆件的变形计算适用叠加原理。
选项:
A:错
B:对
答案: 【错】
9、单选题:
将外伸梁上的集中力P由D点平移到C点,并以等效力系替换原力对梁的作用(如图所示),在a、b两种情况下,外伸梁如下截面的挠度和转角之间有关系( )
选项:
A:
A点转角、B点挠度和C点转角都不变和D点挠度发生变化。
B:
A点转角、B点挠度、C点转角和D点挠度均发生变化 ;
C:
A点转角、B点挠度、C点转角和D点挠度均不发生改变;
D:
A点转角和B点挠度不改变、C点转角和D点挠度发生变化 ;
答案: 【
A点转角、B点挠度和C点转角都不变和D点挠度发生变化。
】
10、单选题:
选项:
A:6.37 mm;
B:6.25 mm;
C:12.50 mm;
D:12.74 mm。
答案: 【6.37 mm; 】
11、单选题:
选项:
A:

B:

C:

D:

答案: 【

】
12、判断题:
选项:
A:对
B:错
答案: 【错】
13、单选题:
选项:
A:
B:
C:
D:
答案: 【
】
14、单选题:
选项:
A:
B:
C:
D:
答案: 【 】
15、单选题:
选项:
A:
B:
C:
D:
答案: 【 】
16、判断题:
承受集中力的等截面简支梁,为减少梁的变形,宜采用等强度梁。
选项:
A:对
B:错
答案: 【错】
17、单选题:
选项:
A:
B:
C:
D:
答案: 【 】
18、单选题:
选项:
A:强度和刚度均相同;
B:强度不同,刚度相同;
C:强度相同,刚度不同;
D:强度和刚度均不相同。
答案: 【强度和刚度均不相同。 】
19、判断题:
选项:
A:错
B:对
答案: 【错】
20、单选题:
选项:
A:
B:
C:
D:
答案: 【 】
21、单选题:
选项:
A:
B:
C:
D:
答案: 【 】
22、单选题:
选项:
A:
B:
C:
D:
答案: 【 】
第八章 单元测试
1、单选题:

选项:
A:

B:

C:

D:

答案: 【

】
2、单选题:

选项:
A:154MPa
B:77 MPa
C:71 MPa
D:143 MPa
答案: 【77 MPa】
3、单选题:

选项:
A:109 MPa
B:111.8MPa
C:54.5 MPa
D:55.9 MPa
答案: 【111.8MPa】
4、单选题:

选项:
A:三向应力状态
B:单向应力状态
C:不能判断
D:平面应力状态
答案: 【单向应力状态】
5、单选题:
某单元体的三个主应力分别为-50MPa,60MPa,80MPa,最大切应力的数值为( )。
选项:
A:70 MPa
B:45 MPa
C:65 MPa
D:20MPa
答案: 【65 MPa】
6、单选题:

选项:
A:

B:

C:

D:

答案: 【

】
7、判断题:

选项:
A:对
B:错
答案: 【错】
8、判断题:

选项:
A:对
B:错
答案: 【对】
9、判断题:
脆性材料在三向压缩时,宜采用第三或第四强度理论校核。( )
选项:
A:错
B:对
答案: 【对】
10、单选题:

选项:
A:

B:

C:

D:

答案: 【

】
11、单选题:

选项:
A:

B:

C:

D:

答案: 【

】
12、单选题:

选项:
A:2.15×10-3
B:1.075×10-3mm
C:2.15×10-3mm
D:1.075×10-3
答案: 【1.075×10-3】
13、单选题:

选项:
A:

B:

C:

D:

答案: 【

】
14、单选题:

选项:
A:

B:

C:

D:

答案: 【

】
15、单选题:

选项:
A:

B:

C:

D:

答案: 【

】
16、单选题:

选项:
A:点B
B:点A与点C
C:点A
D:点C
答案: 【点A与点C】
17、判断题:
脆性材料不会发生塑性屈服失效。
选项:
A:错
B:对
答案: 【错】
18、判断题:

选项:
A:对
B:错
答案: 【对】
19、判断题:

选项:
A:错
B:对
答案: 【错】
20、单选题:

选项:
A:

B:

C:

D:

答案: 【

】
第九章 单元测试
1、判断题:
组合变形杆上可能存在轴力、弯矩、剪力、扭矩的基本内力组合形式。
选项:
A:对
B:错
答案: 【对】
2、判断题:
静定平面刚架的内力可以通过平面任意力系的基本平衡方程进行求解。
选项:
A:对
B:错
答案: 【对】
3、判断题:
杆件受到轴向力和横向力同时作用时,杆件内力仅包括轴力和弯矩。
选项:
A:错
B:对
答案: 【错】
4、判断题:
构件在一种载荷作用下,不可能发生组合变形。
选项:
A:对
B:错
答案: 【错】
5、判断题:
在小变形和线弹性条件下,组合变形杆的强度可以采用叠加法进行计算。
选项:
A:错
B:对
答案: 【对】
6、判断题:
拉(压)与弯曲组合变形杆的危险点一定处于单向应力状态。
选项:
A:对
B:错
答案: 【对】
7、判断题:
拉(压)与弯曲组合变形时,中性轴通过截面形心。
选项:
A:对
B:错
答案: 【错】
8、判断题:
偏心拉(压)杆的强度条件与拉(压)和弯曲组合变形杆的强度条件相同。
选项:
A:对
B:错
答案: 【对】
9、判断题:
截面核心不仅与截面形状、尺寸有关,还与外力的大小及作用点位置有关。
选项:
A:对
B:错
答案: 【错】
10、判断题:
等直圆截面杆发生简单弯扭组合变形时,弯矩和扭矩同时最大的截面一定是危险面。
选项:
A:对
B:错
答案: 【对】
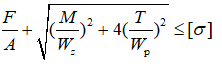
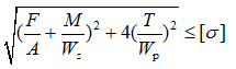
11、单选题:
等直圆截面杆发生简单弯扭组合变形时,关于危险点的描述,以下说法正确的是( )。
选项:
A:危险点不属于复杂应力状态
B:危险点为平面应力状态
C:危险点为单向应力状态
D:危险点为三向应力状态
答案: 【危险点为平面应力状态】
12、单选题:

选项:
A:均匀分布
B:梯形分布
C:曲线分布
D:三角形分布
答案: 【均匀分布】
13、单选题:

选项:
A:1、2、3
B:1
C:1、2
D:1、2、3、4
答案: 【1、2、3】
14、单选题:

选项:
A:

B:

C:

D:

答案: 【

】
15、单选题:

选项:
A:

B:

C:

D:

答案: 【

】
16、单选题:

选项:
A:

B:

C:

D:

答案: 【

】
17、单选题:

选项:
A:

B:

C:

D:

答案: 【

】
18、单选题:

选项:
A:
纯弯曲
B:
弯扭组合
C:
平面弯曲
D:
斜弯曲
答案: 【
平面弯曲
】
19、单选题:

选项:
A:

B:

C:

D:

答案: 【

】
20、单选题:

选项:
A:A点
B:D点
C:C点
D:B点
答案: 【C点】
21、单选题:

选项:
A:

B:

C:

D:

答案: 【

】
22、单选题:

选项:
A:16
B:2
C:8
D:4
答案: 【8】
23、单选题:

选项:
A:d ³ 63 mm
B:d ³ 31.5 mm
C:d ³ 65.3 mm
D:d ³ 46.2 mm
答案: 【d ³ 46.2 mm】
24、单选题:

选项:
A:

B:

C:

D:

答案: 【

】
25、单选题:

选项:
A:

B:

C:

D:

答案: 【

】
26、单选题:

选项:
A:(a)、(c)、(f)为平面弯曲;(b)、 (d)、(e)为斜弯曲
B:(a)、(f)为平面弯曲;(b)、(c)、(d)、(e)为斜弯曲
C:(a)、(e)、(f)为平面弯曲;(b)、(c)、(d)为斜弯曲
D:(a)为平面弯曲;(b)、(c)、(d)、(e) (f)为斜弯曲
答案: 【(a)、(c)、(f)为平面弯曲;(b)、 (d)、(e)为斜弯曲】
27、单选题:

选项:
A:d ³ 145.4mm
B:d ³ 23.4mm
C:d ³ 122mm
D:d ³ 120mm
答案: 【d ³ 122mm】
28、单选题:

选项:
A:b³ 30.7mm
B:b³ 33.4mm
C:b³ 64.1mm
D:b³ 40.7mm
答案: 【b³ 40.7mm 】
29、单选题:

选项:
A:b³ 83.5mm
B:b³ 167mm
C:b³ 250.5mm
D:b³ 41.75mm
答案: 【b³ 83.5mm】
30、单选题:

选项:
A:

B:

C:

D:

答案: 【

】
第十章 单元测试
1、判断题:
由低碳钢制成的细长压杆,经过冷作硬化后,其稳定性不变,强度提高。
选项:
A:错
B:对
答案: 【对】
2、判断题:
对于不同柔度的塑性材料压杆,其最大临界应力将不超过材料的屈服极限。
选项:
A:错
B:对
答案: 【对】
3、单选题:

选项:
A:

B:

C:不能确定
D:

答案: 【

】
4、单选题:
两根材料和柔度都相同的压杆()。
选项:
A:临界应力一定相等,临界力不一定相等
B:临界应力和临界力都一定相等
C:临界应力和临界力都不一定相等
D:临界应力不一定相等,临界力一定相等
答案: 【临界应力一定相等,临界力不一定相等】
5、单选题:

选项:
A:

B:
![]()
C:
![]()
D:
![]()
答案: 【

】
6、判断题:
两根细长压杆,截面大小相等,其一形状为正方形,另一为圆形,其它条件均相同,正方形压杆的柔度小于圆形压杆的柔度。
选项:
A:错
B:对
答案: 【错】
7、单选题:
压杆是属于细长压杆、中长压杆还是短粗压杆,是根据压杆的()来判断的。
选项:
A:横截面尺寸
B:长度
C:临界应力
D:柔度
答案: 【柔度】
8、单选题:
细长压杆的(),则其临界应力越大。
选项:
A:

B:

C:

D:

答案: 【

】
9、单选题:

选项:
A:(c) >(b)> (a)> (d)
B:(a)> (c)> (b)> (d)
C:(d)> (a)> (b)> (c)
D:(a)> (b)> (c)> (d)
答案: 【(a)> (c)> (b)> (d) 】
10、单选题:

选项:
A:

B:

C:

D:

答案: 【

】
11、单选题:
将圆截面压杆改为面积相等的圆环截面压杆,其它条件不变,则临界载荷将()。
选项:
A:增大
B:降低
C:不变
答案: 【增大】
第十一章 单元测试
1、判断题:
能量法不仅适用于线弹性体,也可用于非线弹性体。
选项:
A:对
B:错
答案: 【对】
2、判断题:
当杆件发生小变形,材料在线弹性范围内时,杆件的内力、应力、变形及应变能计算均适用叠加原理。
选项:
A:对
B:错
答案: 【错】
3、判断题:
应变能仅与荷载的最终值有关,而与加载顺序无关。
选项:
A:对
B:错
答案: 【对】
4、单选题:

选项:
A:

B:

C:

D:

答案: 【

】
5、单选题:

选项:
A:

B:

C:

D:

答案: 【

】
6、单选题:

选项:
A:

B:

C:

D:

答案: 【

】
7、判断题:
位移互等定理中的力与位移都是广义的,所谓的“相等”只是数值上的相等,量纲可以不同。
选项:
A:对
B:错
答案: 【对】
8、判断题:
功的互等定理仅适用于线弹性体系。
选项:
A:错
B:对
答案: 【对】
9、单选题:

选项:
A:

B:

C:

D:

答案: 【

】
10、判断题:
卡氏第二定理适用于计算非线弹性体的位移。
选项:
A:错
B:对
答案: 【错】
11、判断题:

选项:
A:对
B:错
答案: 【对】
12、单选题:

选项:
A:

B:

C:

D:

答案: 【

】
13、单选题:

选项:
A:截面A的水平位移和垂直位移的矢量和
B:截面A沿合力方向的线位移
C:截面A的总位移
D:截面A的水平位移和垂直位移的代数和
答案: 【截面A的水平位移和垂直位移的代数和】
14、单选题:

选项:
A:

B:

C:

D:

答案: 【

】
15、判断题:
单位荷载法只适用于梁和刚架结构的位移计算。
选项:
A:错
B:对
答案: 【错】
16、单选题:
用单位载荷法求桁架中某杆BD的旋转角时,需要( )
选项:
A:在D点或B点加一单位力偶矩;
B:在B、D两节点上分别加垂直于杆BD轴线,方向相反的一对力,且其值等于1/LBD;
C:在B、D两个节点上加一对等值反向的单位力;
D:都不对。
答案: 【在B、D两节点上分别加垂直于杆BD轴线,方向相反的一对力,且其值等于1/LBD;】
17、单选题:

选项:
A:

B:

C:

D:

答案: 【

】
18、单选题:

选项:
A:

B:

C:

D:

答案: 【

】
第十二章 单元测试
1、判断题:
动荷系数是动静响应之比。
选项:
A:错
B:对
答案: 【对】
2、判断题:
匀加速直线运动的动荷系数总是大于1。
选项:
A:错
B:对
答案: 【错】
3、判断题:
只要应力不超过比例极限,冲击时的应力和应变关系仍满足胡克定律。
选项:
A:对
B:错
答案: 【对】
4、多选题:
动载荷和静载荷之间的关系,下列说法正确的是:
选项:
A:动载荷一定大于或等于静载荷;
B:动载荷未必一定大于静载荷;
C:动载荷一定大于静载荷;
D:在材料线弹性范围内和小变形情况下,动载荷等于静载荷乘以动荷系数。
答案: 【动载荷未必一定大于静载荷;;在材料线弹性范围内和小变形情况下,动载荷等于静载荷乘以动荷系数。】
5、判断题:

选项:
A:对
B:错
答案: 【错】
6、判断题:
对加速运动构件的动响应计算适用动静法。
选项:
A:错
B:对
答案: 【错】
7、单选题:

选项:
A:
减小轮缘横截面面积;
B:
增大飞轮直径;
C:
增加轮缘横截面面积;
D:
减小飞轮角速度。
答案: 【
减小飞轮角速度。
】
8、单选题:

选项:
A:动荷系数不等,动应力相等;
B:动荷系数和动应力均不相等。
C:动荷系数相等,动应力不等;
D:动荷系数和动应力均相等;
答案: 【动荷系数不等,动应力相等;】
9、单选题:

选项:
A:动荷系数和动应力均不相等。
B:动荷系数和动应力均相等;
C:动荷系数相等,动应力不等;
D:动荷系数不等,动应力相等;
答案: 【动荷系数和动应力均不相等。】
10、判断题:
能量法是分析冲击问题的精确方法。
选项:
A:对
B:错
答案: 【错】
11、单选题:

选项:
A:

B:

C:

D:

答案: 【

】
12、单选题:

选项:
A:不能确定。
B:一样大;
C:(a)大;
D:(b)大;
答案: 【(b)大;】
13、单选题:
如图所示,重700N的运动员从0.6m高处落在跳板A端,跳板的横截面为480mm×65mm的矩形,木材的弹性模量为E=12GPa,假设运动员腿不弯曲,则跳板中的最大弯曲应力。下列答案正确的是:
选项:
A:34.54MPa;
B:11.18MPa;
C:44,54MPa。
D:5.59MPa;
答案: 【34.54MPa;】
14、单选题:

选项:
A:将B支座改为弹性支承。
B:减小重物下落高度;
C:缩短外伸段BC的长度;
D:减小重物的重量;
答案: 【将B支座改为弹性支承。】
15、判断题:
动载荷就是指的惯性力。
选项:
A:对
B:错
答案: 【错】
第十三章 单元测试
1、判断题:
两圆截面直径之比为四分之一,则其对圆心的极惯性矩之比为二百五十六分之一。
选项:
A:错
B:对
答案: 【对】
2、判断题:
平面图形对两垂直轴的惯性积等于图形各点处微面积与该点分别到这两轴距离乘积平方的代数和。
选项:
A:错
B:对
答案: 【错】
3、判断题:
实心圆截面对某直径的惯性矩等于圆周率乘以该圆直径三次方除以六十四。
选项:
A:对
B:错
答案: 【错】
4、判断题:
正方形截面对其中心对称轴的惯性半径等于正方形边长的二分之一。
选项:
A:错
B:对
答案: 【错】
5、单选题:

选项:
A:

B:

C:

D:

答案: 【

】
6、单选题:
若截面图形有对称轴,则该图形对其对称铀的
选项:
A:静矩为零,惯性矩不为零
B:静矩和惯性矩均不为零
C:静矩和惯性矩均为零
D:静矩不为零,惯性矩为零
答案: 【静矩为零,惯性矩不为零】
7、单选题:

选项:
A:

B:

C:

D:

答案: 【

】
8、单选题:

选项:
A:

B:

C:

D:

答案: 【

】
9、单选题:

选项:
A:

B:

C:

D:

答案: 【

】
10、单选题:

选项:
A:

B:

C:

D:

答案: 【

】
11、单选题:

选项:
A:

B:

C:

D:

答案: 【

】
12、单选题:

选项:
A:

B:

C:

D:

答案: 【

】
13、单选题:

选项:
A:

B:

C:

D:

答案: 【

】
14、单选题:

选项:
A:

B:

C:

D:

答案: 【

】
15、单选题:

选项:
A:

B:

C:

D:

答案: 【

】




评论0